严重声明:
关于成人高考专升本·高等数学一中《将初等函数展开成幂级数》的考点,包括:初等函数的基本理论和几种常用函数的幂级数展开式等知识点,具体内容如下:
考点1 初等函数的基本理论
1.如果幂级数
在(-R,R)内收敛于和函数S(x),则
(1)S(x)在(-R,R)内连续.
(2)S(x)在(-R,R)内可导,且 
(3)S(x)在(-R,R)内可积,且 
[注]求导前后两个幂级数的下标要变化.
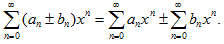
2.如果
和
的收敛半径分别为R₁,R₂,当R=min{R₁,R₂}时,则
在(-R,R)内收敛,且 
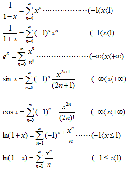
考点2 几种常用函数的幂级数展开式
