严重声明:
2019年成人高等学校招生全国统一考试专升本
高等数学(二)
本试卷分第Ⅰ卷(选择题)和第Ⅱ卷(非选择题)两部分.满分150分.考试时间150分钟.
第Ⅰ卷(选择题,共40分)
一、选择题(1~10小题,每小题4分,共40分.在每小题给出的四个选项中,只有一项是符合题目要求的)
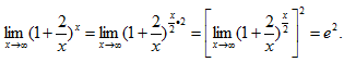
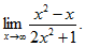
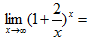
1.
【D】
A.-e² B.-e C.e D.e²
【考情点拨】本题考查了两个重要极限的知识点.
【应试指导】
2.设函数y=arcsinx,则y'=【B】

【考情点拨】本题考查了函数的导数公式的知识点.
【应试指导】
3.设函数f(x)在[a,b]上连续,在(a,b)可导,f()>0,f(a)f(b)<0,则f(x)在(a,b)零点的个数为【C】
A.3 B.2 C.1 D.0
【考情点拨】本题考查了零点存在定理的知识点.
【应试指导】由零点存在定理可知,f(x)在(a,b)上必有零点,且函数是单调函数,故其在(a,b)上只有一个零点.
4.设函数y=x³+eˣ,则y⁴=【B】
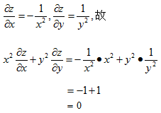
A.0 B.eˣ C.2+eˣ D.6+eˣ
【考情点拨】本题考查了高阶导数的知识点.
【应试指导】
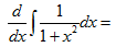
5.
【C】
A.arctanx B.arccotx C.1/(1+x²) D.0
【考情点拨】本题考查了不定积分的性质的知识点.
【应试指导】
6.∫cos2xdx=【A】
A.(1/2)sin2x+C B.-(1/2)sin2x+C C.(1/2)cos2z+C D.-(1/2)cos2x+C
【考情点拨】本题考查了不定积分公式的知识点.
【应试指导】
7.
【D】
A.-10 B.-8 C.8 D.10
【考情点拨】本题考查了定积分的计算的知识点.
【应试指导】
8.设函数x=(x-y)¹⁰,则
【C】
A.(x一y)¹⁰ B.-(x-y)¹⁰ C.10(x-y)⁹ D.-10(x-y)⁹
【考情点拨】本题考查了偏导数的知识点.
【应试指导】由偏导数公式可得 
9.设函数x=2(x-y)-x²-y²,则其极值点为【D】
A.(0,0) B.(-1,1) C.(1,1) D.(1,-1)
【考情点拨】本题考查了二元函数极值的知识点.
【应试指导】易知
,令
,得驻点(1,-1),
而
故△=0-(-2)·(-2)=-4<0,因此(1,-1)是函数的极值点.
10.设离散型随机变量X的概率分布为

则a=【A】
A.0.1 B.0.2 C.0.3 D.0.4
【考情点拨】本题考查了概率的性质的知识点.
【应试指导】由概率分布的性质可知2a+a+3a+4a=10a=1,a=0.1.
第Ⅱ卷(非选择题,共110分
二、填空题(11~20小题,每小题4分,共40分)
11.当x→0时f(x)与3x是等价无穷小,则
_3_.
【考情点拨】本题考查了等价无穷小的知识点.
【应试指导】由题可知 
12.
【答案】2
【考情点拨】本题考查了极限的知识点.
【应试指导】
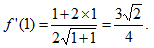
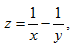
13.设函数
,则f'(1)=___.
【答案】
【考情点拨】本题考查了导函数的知识点.
【应试指导】
,因此 
14.设x²为f(x)的一个原函数,则f(x)=_2x_.
【考情点拨】本题考查了不定积分的原函数的知识点.
【应试指导】由题意可知∫f(x)dx=x²+C,故f(x)=(∫f(x)dx)'=(x²+C)'=2x.
15.设函数y=lnsinx,则dy=_cotxdx_.
【考情点拨】本题考查了微分的知识点.
【应试指导】
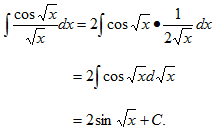
16. 
【答案】
【考情点拨】本题考查了不定积的计算的知识点.
【应试指导】
17. 
【答案】
【考情点拨】本题考查了复合函数的不定积分的知识点.
【应试指导】

18. 
【答案】4
【考情点拨】本题考查了定积分的计算的知识点.
【应试指导】
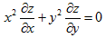
19.设函数 
【答案】 
【考情点拨】本题考查了二阶偏导数的知识点.
【应试指导】
20.设函数x=sinx·lny,则dz=___.
【答案】
【考情点拨】本题考查了二元函数的全微分的知识点.
【应试指导】

三、解答题(21~28题,共70分.解答应写出推理、演算步骤)
21.(本题满分8分)
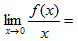
计算 
【答案】

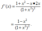
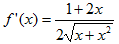
22.(本题满分8分)
设函数
求f'(x).
【答案】

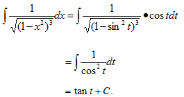
23.(本题满分8分)
计算 
【答案】 令x=sint,-(π/2)<t<(-π/2),则有dx=costdt,

而t=arcsinx,故有

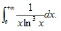
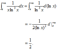
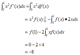
24.(本题满分8分)
计算 
【答案】

25.一个袋中有10个乒乓球,其中7个橙色,3个白色,从中任取2个,设事件A为“所取的2个乒乓
球颜色不同”,求事件A发生的概率P(A).(本题满分8分)
【答案】 A为所取的2个乒乓球颜色不同,即A表示所取的2个球中1个球是橙色,一个球是白色,
故 
26.(本题满分10分)
设函数f(x)=ax³+bx²+cx在x=2处取得极值,点(1,-1)为曲线y=f(x)的拐点,求a,b,c.
【答案】易知f'(x)=3ax²+2bx+c,f''(c)=6ax+2b,由于f(x)在x=2处取得极值,则f'(2)=12a+4b+c=0,点(1,-1)是y=f(x)的拐点,故有f(1)=-1,f''(1)=0,即 
27.已知函数f(x)的导函数连续,且
(本题满分10分)
【答案】

28.设函数
证明:
(本题满分10分)
【答案】
