严重声明:
2019年成人高等学校招生全国统一考试专升本
高等数学(一)
本试卷分第Ⅰ卷(选择题)和第Ⅱ卷(非选择题)两部分.满分150分.考试时间150分钟.
第Ⅰ卷(选择题,共40分)
一、选择题(1~10小题,每小题4分,共40分.在每小题给出的四个选项中,只有一项是符合题目要求的)
1.当x→0时,x+x²+x³+x⁴为x的【A】
A.等价无穷小 B.2阶无穷小 C.3阶无穷小 D.4阶无穷小
【考情点拨】本题考查了等价无穷小的知识点.
【考情点拨】
,故x+x²+x³+x⁴是的等价无穷小.
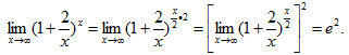
2.
【D】
A.-e² B.-e C.e D.e²
【考情点拨】本题考查了两个重要极限的知识点.
【应试指导】
3.设函数y=cos2x, 则y'=【B】
A.2sin2x B.-2sin2x C.sin2x D.-sin2x
【考情点拨】本题考查了复合函数的导数的知识点.
【应试指导】y'=(cos2x)'=-sin2x·(2x)'=-2sin2x.
4.设函数f(x)在[a,b]上连续,在(a,b)可导,f'(x)>0,f(a)f(b)<0,则f(x)在(a,b)内零点的个数为【C】
A.3 B.2 C.1 D.0
【考情点拨】本题考查了零点存在定理的知识点.
【应试指导】由零点存在定理可知,f(x)在(a,b)上必有零点,且函数是单调函数,故其在(a,b)上只有一个零点.
5.设2x为f(x)的一个原函数,则f(x)=【B】
A.0 B.2 C.x² D.x²+C
【考情点拨】本题考查了函数的原函数的知识点.
【应试指导】由题可知∫f(x)dx=2x+C,故f(x)=(∫f(x)dr)'=(2x+C)'=2.
6.设函数f(x) =arctan x, 则∫f'(x)dx=【C】
A.-arctanx+C B.-(1/(1+x²))+C C.arctanx+C D.(1/(1+x²))+C
【考情点拨】本题考查了不定积分的性质的知识点.
【应试指导】∫f'(x)dx=f(x) +C=arctanx+C
7.设
则【A】
A.I₁>I₂>I₃ B.I₂>I₃>I₁ C.I₃>I₂>I₁ D.I₁>I₃>I₂
【考情点拨】本题考查了定积分的性质的知识点.
【应试指导】在区间(0,1)内,有x²>x³>x⁴,由积分的性质可知。
即I₁>I₂>I₃.
8.设函数
【D】
A.0 B.1/2 C.1 D.2
【考情点拨】本题考查了二元函数的偏导数的知识点.
【应试指导】
9.平面x+2y-3z+4=0的一个法向量为【C】
A.{1,-3,4} B.{1,2,4} C.{1,2,-3} D.{2,-3,4}
【考情点拨】本题考查了平面的法向量的知识点.
【应试指导】平面的法向量即平面方程的系数{1,2,-3}.
10.微分方程yy'+(y')3+y4=x的阶数为【B】
A.1 B.2 C.3 D.4
【考情点拨】本题考查了微分方程的阶的知识点.
【应试指导】微分方程中导数的最高阶数称为微分方程的阶,本题最高是2阶导数,故本题阶数为2.
第Ⅱ卷(非选择题,共110分)
二、填空题(11~20小题,每小题4分,共40分)
11. 
【答案】2
【考情点拨】本题考查了等价无穷小的代换定理的知识点.
【应试指导】
12.若函数
在点x=0处连续,则a=_0_.
【考情点拨】本题考查了函数的连续性的知识点.
【应试指导】由于f(x)在x=0处连续,故有 
13.设函数y=e²ˣ,则dy=_2e²ˣdx_.
【考情点拨】本题考查了复合函数的微分的知识点.
【应试指导】dy=d(e²ˣ)=e²ˣ.(2x)'dx=2e²ˣdx.
14.函数f(x)=x³-12x的极小值点x=_2_.
【考情点拨】本题考查了函数的极值的知识点.
【应试指导】f'(x)=3x²-12=3(x-2)(x+2),当x=2或x=-2时,f'(x)=0,当x<-2时,f'(x)>0;当-2<x<2时,f'(x)<0;当x>2时,f'(x)>0,因此x=2是极小值点.
15.
【答案】arcsinx+C
【考情点拨】本题考查了定积分的性质的知识点.
【应试指导】
16. 
【答案】0
【考情点拨】本题考查了不定积分的计算的知识点.
【应试指导】被积函数xtan²x在对称区间[-1,1] 上是奇函数,故 
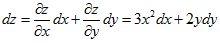
17.设函数x=x³+y²,dz=_3x²dx+2ydy_.
【考情点拨】本题考查了二元函数的全微分的知识点.
【应试指导】
所以 
18.设函数z=xarcsiny,则 
【答案】0
【考情点拨】本题考查了二阶偏导数的知识点.
【应试指导】
19.幂级数
的收敛半径为_1_.
【考情点拨】本题考查了收敛半径的知识点.
【应试指导】
,设аn=m,则有
,故其收敛半径为 
20.微分方程y'=2x的通解y=_x²+C_.
【考情点拨】本题考查了可分离变量的微分方程的通解的知识点.
【应试指导】微分方程y=2是可分离变量的微分方程, 两边同时积分得∫y'dx=∫2xdx→y=x²+C。
三、解答题(21~28题,共70分.解答应写出推理、演算步骤)
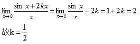
21.若
,求k.(本题满分8分)
【答案】

22.设函数y=sin(2x-1),求y'.(本题满分8分)
【答案】y'=[sin(2x-1)]'=cos(2x-1)·(2x-1)'=2cos(2x-1)
23.设函数y=xlnx,求y”.(本题满分8分)
【答案】y'=(x)'lnx+x(Inx)'=lnx+1.故y''=(lnx)'=1/x.
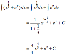
24.计算
(本题满分8分)
【答案】

25.设函数
(本题满分8分)
【答案】

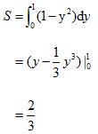
26.(本题满分10分)设D是由曲线x=1-y²与x轴、y轴,在第一象限围成的有界区域.求:
(1)D的面积S;
【答案】积分区域D可表示为:0≤y≤1,0≤x≤1-y²,

(2)D绕x轴旋转所得旋转体的体积V.
【答案】

27.求微分方程y”-5y'-6y=0的通解.(本题满分10分)
【答案】特征方程r²-5r-6=0,解得r₁=-1或r₂=6,
故微分方程的通解为y=C₁eʳ¹ˣ+C₂eʳ²ˣ=C₁e¯ˣ+C₂e⁶ˣ(C₁,C₂为任意常数)
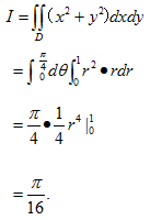
28.计算
,其中D是由曲线x²+y=1,y=x,x轴在第一象限围成的有界区域.(本题满分10分)
【答案】积分区域用极坐标可表示为:0≤θ<(π/4),0≤r≤1,所以
